作业答题帮是一个正规的在线答题平台,主要面向中小学生。它涵盖了教材的全面知识。无论你是什么学科,都可以在这里咨询。作业答题帮还延伸了课程、问答、商城等板块,不仅能帮你答疑解惑,还能帮你学习更多知识。来试试你需要的宝贝吧。
1、解题的思路清楚的展示在平台里,学生可以实时的进行查看,快速的使用。
2、在平台里可以讲解各种学习内容,让学生能够获得优质的服务,更好学习。
3、你可以随时随地的进行学习,快速的解决你的学习问题,更好的提升成绩。

1、平台提供学习工具非常的多,用户可以随意的进行选择,获得更多的帮助教学。
2、在线就可以快速的进行使用,更好的解决用户的学习需求,非常的方便去体验。
3、所有的题目都有详细的讲解,用户在线能够清楚的进行查看,了解更多的信息。
1、你可以把不会的题目添加到平台里,及时的获得需要的答案,快速的使用去体验。
2、平台提供使用的计算器,用户能够快速的进行使用,帮助你更好的进行计算教学。
3、在平台里,可以帮助用户快速的解决面积、体积、重量等问题,得到优质的服务。
1、用户可以在平台里快速的进行搜索,找到你需要解题的信息,更好的使用去体验。
2、可以进行体积换算,帮助学生快速的解决换算问题,获得更多的帮助支持你教学。
3、在平台里能够快速的计算体积信息,让学生可以随意的进行使用,满足你的需求。

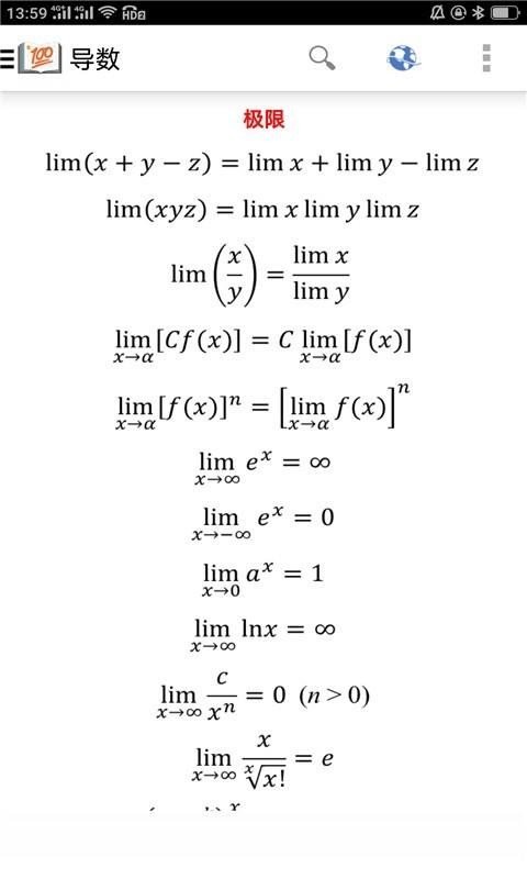
这款软件可以解答的题目类型非常的多,包含了几何、代数、方程、导数等等
你可以根据自己的学习情况快速的进行选择,找到你需要解答的题目类型
更好的解决你的题目,让学生在平台可以随时随地的进行使用,非常的方便
作业答题帮是一款致力于用科技手段助力教育普惠的在线教育品牌,它运用人工智能、大数据等先进技术,为全国中小学生提供全学科的学习辅导服务。
好了,今天作业答题帮app就分享到这里了,想要下载更多的安卓软件就来1666手游网,赶紧加入收藏吧,更多精彩不容错过!