《异世界废物摆烂崛起之无限启灵》是一款以文字叙事为核心的异世界冒险手游,采用独特的肉鸽玩法设计,为玩家带来持续的新鲜体验。游戏融合了丰富的玩法系统,通过佛系挂机机制减轻玩家负担,让玩家随时开启奇幻的文字异世界冒险之旅!

1、存档读取功能是游戏核心机制之一,所有涉及概率的事件均可通过sl操作重复刷新,直至获得理想结果。建议玩家养成频繁存档的习惯以优化游戏体验。

2、游戏提供五大职业体系:[攻击型][守护型][妨碍型][辅助型][治愈型]
[攻击型]具有最高物理攻击成长但生命值最低,属性发展均衡
[治愈型]拥有最高魔法攻击成长与中上生命值,属性发展均衡
[守护型]生命与防御成长突出但攻击力极低,属性发展均衡
[妨碍型][辅助型]各项属性均衡发展,魔法攻击略高于物理攻击

在角色满级前建议专注培养[治愈型],其高魔法攻击配合生命值基础与自愈技能,能提供持续作战能力

3、不推荐选择[守护型],该职业攻击力不足导致战斗效率低下,防御技能在持久战中优势不明显
4、元素系统包含[火焰][冰霜][雷电][毒素][意识]五种属性,属性克制关系如下

受历史bug影响,[意识]与[毒素]属性存在装备适配问题(选择后装备属性失效)
剩余三种元素可自由选择,推荐[雷电]元素可避免pvp场景中的属性克制(尽管pvp功能实用性有限)
5、核心技能[雷霆之击]建议优先获取,该技能将贯穿角色整个成长周期

可通过第三日赠送的随机ssr卡进行sl刷新,若未获得目标技能需重新读取存档
6、ssr技能可通过吞噬机制转移至其他角色,操作路径为:首页→谷镇边缘


推荐搭配[血色反击]技能,使角色具备治疗、护盾、群伤、控制、反伤、吸血等全能特性

未获得[雷霆之击]时可先用[眩晕冲击]替代,但麻痹控制效果较弱

1、领地建筑最优配置方案:集市×8、匠人工坊×8、治愈神殿×8、自然公园×5、骑士训练营×5,其余建筑各建1座。建筑布局可自由调整

2、重点解析与领地升级密切相关的两个区域:"野山林"与"幽兰古矿"


这两个区域的采集效率直接影响领地升级进度,需科学分配采集点以实现资源最大化利用
3、关键数据参考:30级资源需求比例与基础采集速度表。采用比例制便于资源统筹,当某类材料达标时即可推算其他材料需求量

领地建筑每升5级会解锁新装饰部件,需从1级重新培养,导致后期资源消耗激增


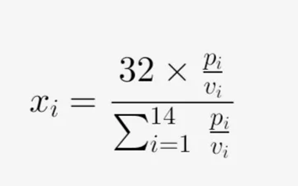
4、采集点分配计算方法:根据材料需求比例(pi)与采集速度(vi)确定分配权重
计算公式:x_i = frac{32 times frac{p_i}{v_i}}{sum_{i=1}^{14} frac{p_i}{v_i}}

通过该公式可得出各类材料的采集点需求量

优先满足无工具采集点的整数需求(工具采集可通过词条提升50%效率),其余采集点按稀缺程度分配。最终配置方案如下:

5、优化配置结果
野山林:桃心木×2、柳木×3、白杨木×1、橡木×3、枫木×2、椰木×1、龙鳞木×3、灵松木×1、霜藤木×1、水晶槐木×1、噬魂杉木×1、幻影红杉木×3、魔焰木×3、寒铁木×7
幽兰古矿:铁×5、铜×2、银×2、红石×2、青金石×1、黑曜石×4、炎晶×5、寒冰石×3、雷晶×3、毒蕴石×1、幻晶石×4
1、五大职业体系提供差异化技能装备组合,满足多元战斗需求
2、丰富玩法系统持续更新,每个挑战模式都蕴含独特乐趣
3、肉鸽机制确保每次冒险都能获得新鲜体验,拒绝重复枯燥

开启你的文字异世界冒险之旅!多职业选择与丰富玩法系统构建出深度游戏体验,即刻启程探索无限可能!
版本更新
v1.26.02110001
新春特惠活动上线!资源产出翻倍,幸运暴击概率提升!
以上就是异世界废物摆烂崛起之无限启灵手游游戏的相关介绍,喜欢的小伙伴就赶快点击下载玩起来吧!更多好玩游戏尽在1666手游网!